• Предмет: Геометрия
  • Автор: Kitnow
  • Вопрос задан 11 лет назад

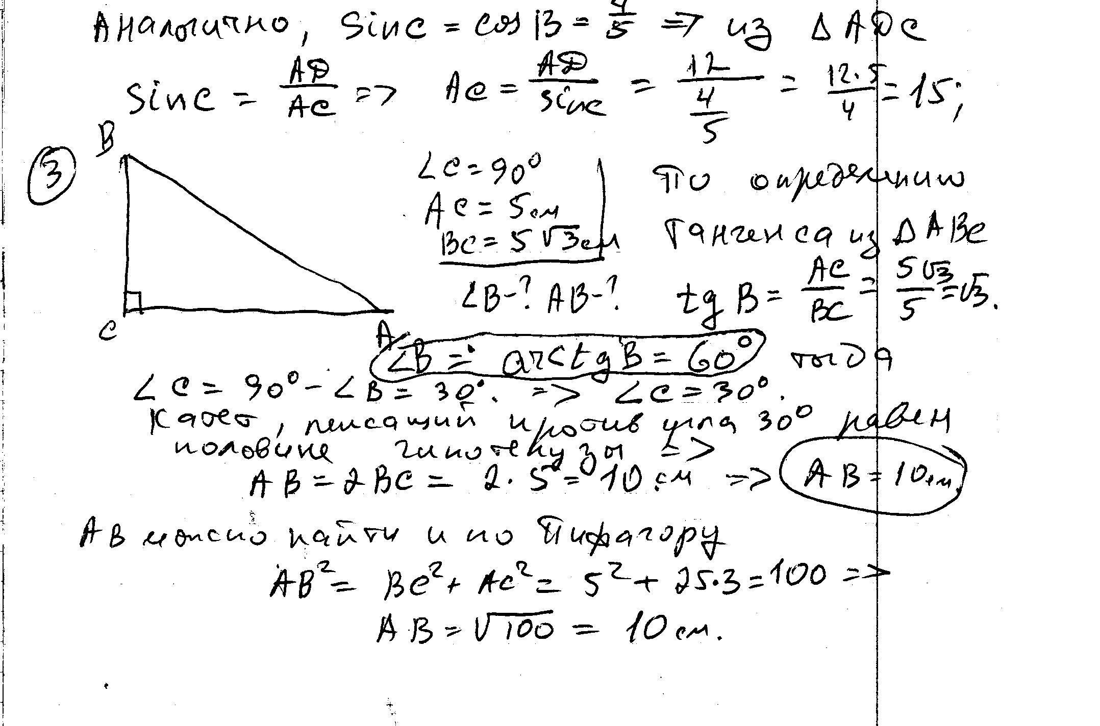
№1. Средние линии треугольника относятся как 2:2:4, а периметр треугольника равен 45 см . Найдите стороны треугольника. №2.В прямоугольном треугольнике АВС угол А=90 градусов,АВ=20 см, высота АД=12см. найдите АС и cosС №3.В прямоугольном треугольнике АВС угол С = 90 градусов, АС=5см, ВС=5корень из трех см. Найдите угол В и гипотенузу АВ

Ответы

Ответ дал: ужнеужели
0
Решение в скане..............
Приложения:
Вас заинтересует