В основе прямой призмы лежит треугольник со сторонами 9 см, 10 см и 17 см. Найдите объем призмы, если диагональ малейшей боковой грани равна 41 см.
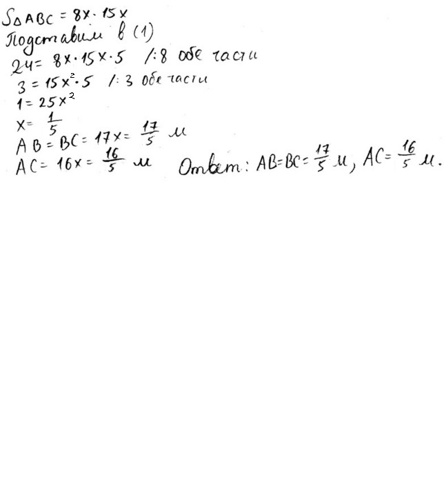
Высота прямой треугольной призмы равна 5 м, а площади боковых граней относятся как 17:17:16. Найдите стороны основания призмы, если ее объем равен 24 м3
СРОЧНО ПРОШУ ПОМОГИТЕ!!!!!!!!!!! ДАЮ 30 БАЛЛОВ!!!!!
Ответы
Ответ дал:
0
Решение в приложении. Надеюсь, понятно
Приложения:




Вас заинтересует
2 года назад
7 лет назад
7 лет назад
10 лет назад
10 лет назад
10 лет назад