• Предмет: Физика
  • Автор: ivan017
  • Вопрос задан 11 лет назад

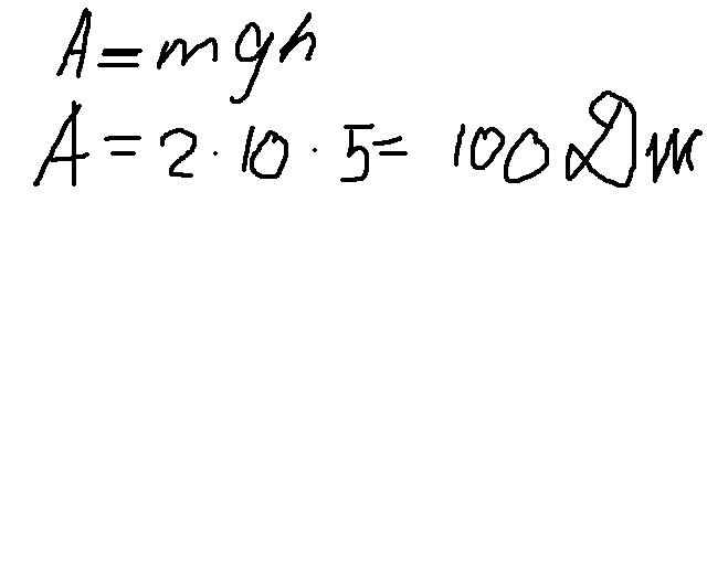
тело массой 2 кг свободно падает с высоты 5 м. В момент удара об землю оно имело скорость 10 м/с. Какую работу совершила сила тяжести при падении тела?

Ответы

Ответ дал: anonymys1
0

Только скорость в задаче не нужна, так как падение свободное

Приложения:
Вас заинтересует