• Предмет: Алгебра
  • Автор: панда87
  • Вопрос задан 10 лет назад

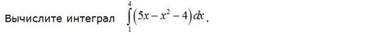
помогите вычислить интеграл

Приложения:

Ответы

Ответ дал: sangers1959
0
∫₁⁴(5x-x²-4)dx=∫₁⁴(5x²/2-x³/3-4x)=5*4²/2-4³/3-4*4-5*1²/2+1³/3+4*1=
=40-64/3-16-2,5+1/3+4=44-18,5-63/3=44-18,5-21=44=-9,5=4,5.
Вас заинтересует