Система:
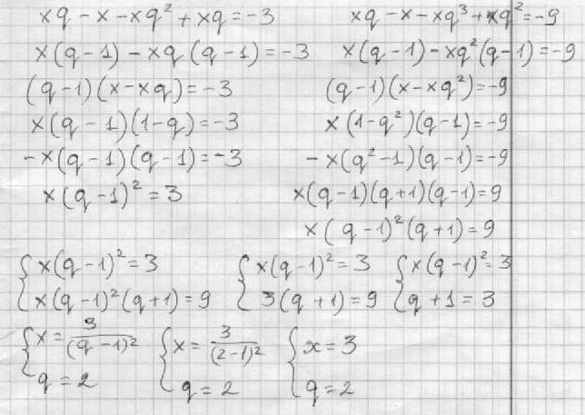
xq - x- xq² + xq = -3
xq - x -xq³ + xq² = -9
Устал уже решать задачу... Составил вот такую систему, но не могу решить. Хелп.
Ответы
Ответ дал:
0
Там сначала преобразовано каждое уравнение! Удачи!
Приложения:

Ответ дал:
0
СПАСИБО ОГРОМНОЕ!
Вас заинтересует
7 лет назад
7 лет назад
10 лет назад
10 лет назад
10 лет назад