Ответы
Ответ дал:
0
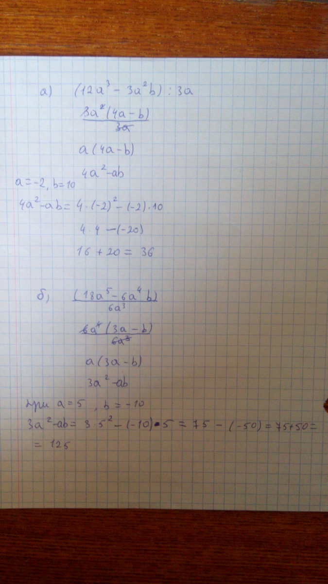
1)(12a^3-3a^2b):3a=(-12*8-3*4*10):(-3*2)=36
2)(18a^5-6a^4b):6a^3=(18*3125+6*10*625):(6*125)=125
2)(18a^5-6a^4b):6a^3=(18*3125+6*10*625):(6*125)=125
Ответ дал:
0
Спасибо =3
Ответ дал:
0
Ответ: 36
Ответ: 125
как то так
Ответ: 125
как то так
Приложения:

Ответ дал:
0
Спасибо! =)
Вас заинтересует
2 года назад
2 года назад
10 лет назад
10 лет назад
10 лет назад