• Предмет: Физика
  • Автор: georgius12
  • Вопрос задан 11 лет назад

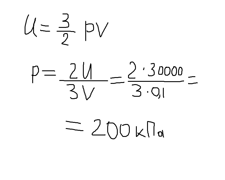
Идеальный одноатомный газ расширяется при постоянном давлении. В момент, когда объем газа равен 0,1 м3, его внутренняя энергия составляет 30 кДж. Чему равно давление газа?

 

Ответы

Ответ дал: bender337
0

111111111111111111111111111111111111111111

Приложения:
Вас заинтересует