• Предмет: Математика
  • Автор: Нелька8
  • Вопрос задан 2 года назад

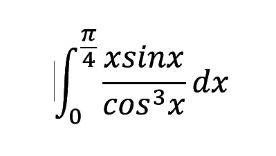
Решить определенный интеграл

Приложения:

Ответы

Ответ дал: NNNLLL54
0
 \int\limits^{\frac{\pi}{4}}_0 {\frac{x\cdot sinx}{cos^3x}} \, dx =[\, u=x,\; du=dx,\; dv=\frac{sinx\, dx}{cos^3x}\; ,\\\\v=\int \frac{sinx\, dx}{cos^3x}=[t=cosx,\; dt=-sinx\, dx\, ]=\\\\=-\int t^{-3}dt=-\frac{t^{-2}}{-2}=\frac{1}{2cos^2x}\, ]=uv-\int v\, du=\\\\=\frac{x}{2cos^2x}|_0^{\frac{\pi}{4}}-\int _0^{\frac{\pi}{4}}\frac{dx}{2cos^2x}= \frac{\frac{\pi}{4}}{2cos^2\frac{\pi}{4}}-\frac{1}{2}\cdot tgx|_0^{\frac{\pi}{4}}=

 =\frac{\pi }{8\cdot \frac{1}{2}} -\frac{1}{2}tg\frac{\pi}{4}= \frac{\pi}{4}-\frac{1}{2}

Freakazoid: Скажите, пожалуйста, что это за метод решения? Я пока прошёл темы первообразной, определённый интеграл и формула Ньютона-Лейбница. Но некоторые примеры по тригонометрии как-то с трудом даются, некоторые не решаются совсем. Вот и думаю, может метод, использованный вами, поможет
Freakazoid: к примеру вот пример http://znanija.com/task/17809871 , который замучил меня
NNNLLL54: Метод называется "интегрирование по частям."
Freakazoid: Спасибо, поищу в интернете
Вас заинтересует