• Предмет: Геометрия
  • Автор: anz478
  • Вопрос задан 2 года назад

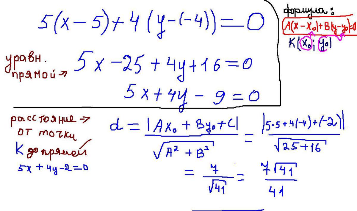
СОСТАВИТЬУРАВНЕНИЕ ПРЯМОЙ ПРОХОДЯЩЕЙ ЧЕРЕЗ ТОЧКУ к(5;-4)ПАРАЛЕЛЬНОЙ ПРЯМОЙ:5Х+4У-2=0. нАЙТИ РАССТОЯНИЕ ОТ ДАННОЙ ТОЧКИ ДО ДАННОЙ ПРЯМОЙ


Kalimbet: расстояние от 5х-4у-2=0 до К
Kalimbet: или от Составленной прямой до К
Kalimbet: просто между Составленным и К расстояние равна нулю

Ответы

Ответ дал: Kalimbet
1
вот решение с ответом    
Приложения:

Kalimbet: можете дать лучший
Kalimbet: ??:)
Вас заинтересует