Ответы
Ответ дал:
0
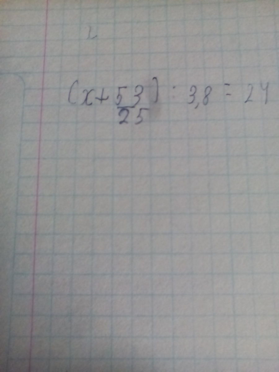
(x+ 53/25) : 3,8=24
53/25=2,12
x+2,12=24*3,8
x+2,12=91,2
x=91,2-2,12
x=89,08
Проверка:
(89,08+2,12) :3,8=24
91,2 : 3,8 = 24
24 = 24
53/25=2,12
x+2,12=24*3,8
x+2,12=91,2
x=91,2-2,12
x=89,08
Проверка:
(89,08+2,12) :3,8=24
91,2 : 3,8 = 24
24 = 24
Ответ дал:
0
сяб
Вас заинтересует
3 года назад
3 года назад
8 лет назад
10 лет назад
10 лет назад
10 лет назад
10 лет назад