• Предмет: Алгебра
  • Автор: Aliya222333
  • Вопрос задан 11 лет назад

ЛЮЮДИ ПОМООГИТЕ ПОЖАЛУЙСТА, КТО ЧЕМ МОЖЕТ, СМОТРИТЕ ВО СЛОЖЕНИЯХ

Приложения:

Ответы

Ответ дал: 21Filly
0
Номер8
5-5х>1/2-4х-3/2
10-10х>1-4х-3
4х-10х>1-3-10
-6х>-12
Х<2
Ответ:(-бесконечность;2)
Ответ дал: русская25
0

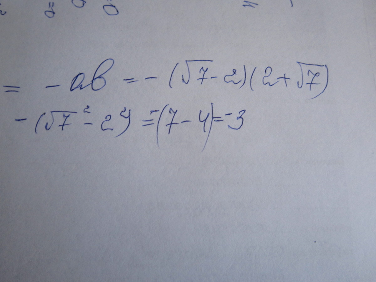
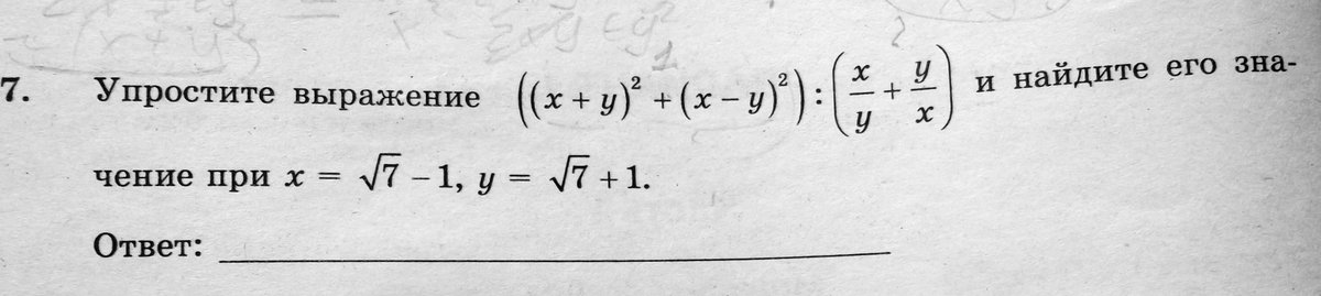
Решение номера 7.
Конечный ответ: -3. 

Приложения:
Вас заинтересует