Ответы
Ответ дал:
0
см.вложение
======================================
Приложения:

Ответ дал:
0
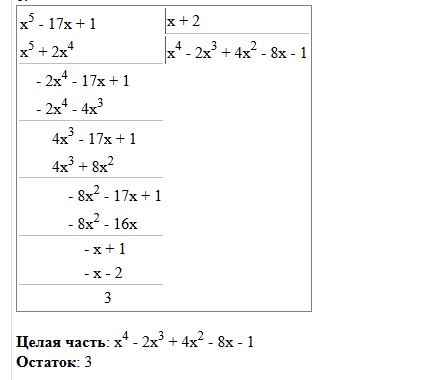
по следствию теоремы Безу остаток от деления многочлена P(x) на двучлен равен
поєтому остаток от деления многочлена x^5-17x+1 на x+2=x-(-2) равен
ответ: 3
Приложения:

Вас заинтересует
2 года назад
2 года назад
8 лет назад
8 лет назад
10 лет назад