• Предмет: Алгебра
  • Автор: nastya11023
  • Вопрос задан 11 лет назад

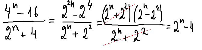
ПОМОГИТЕ ПЛИЗ-сократите дробь 4^n-162^n+4...ответ должен быть=2^n-4

Ответы

Ответ дал: Аноним
0

см. вложение

=======================================

Приложения:
Ответ дал: хохоji
0

исправь там...не 2^2n а, (2^n)2

 

Приложения:
Вас заинтересует