расстояние между предметом и его изображением в собирающей линзе с фокусным расстоянием 10 см равно 40 см. на каком расстоянии от линзынаходится предмет?
Ответы
Ответ дал:
0
По формуле тонкой линзы , где F - фокусное расстояние (м), f - расстояние изображения до линзы, d - расстояние предмета до линзы (м). Подставляем, производим преобразования и вычисляем: В системе СИ: 10 см = 0,1 м
40 см = 0,4 м. По рис (во вложении) нужно определить f - "малая".
Приложения:

Ответ дал:
0
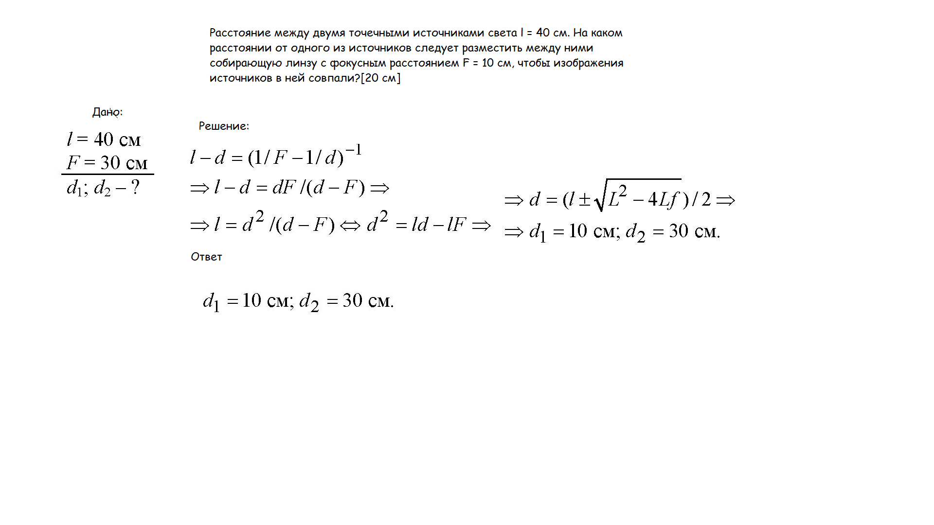
Смотрите решение во вложении
Приложения:

Вас заинтересует
2 года назад
8 лет назад
10 лет назад
10 лет назад
10 лет назад