Ребят помогите пожалуйста решить примеры))))))
Заранее спасибо)))
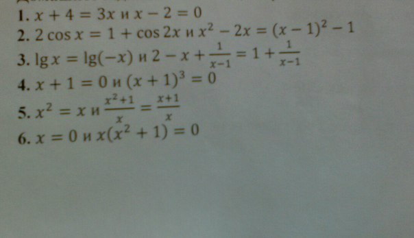
1. x + 4 = 3x и x - 2 = 0
2. 2 cos x = 1 + cos 2x и x^2 - 2x = (x - 1)^2 - 1
3. lg x = lg(-x) и 2 - x + 1x - 1 = 1 + 1x - 1
4. x + 1 = 0 и (x + 1)^3 = 0
5. x^2 = x и x^2 + 1x = x + 1x
6. x = 0 и x(x^2 + 1) = 0
Приложения:
Ответы
Ответ дал:
0
1) x=2 и х=2
2)х= и х=0
4)х=-1 и х=1
5) х=0; х= 1 и х = 1
6) х=0 и х=0
2)х= и х=0
4)х=-1 и х=1
5) х=0; х= 1 и х = 1
6) х=0 и х=0
Вас заинтересует
3 года назад
8 лет назад
8 лет назад
10 лет назад
10 лет назад
10 лет назад