• Предмет: Физика
  • Автор: Дагамна
  • Вопрос задан 11 лет назад

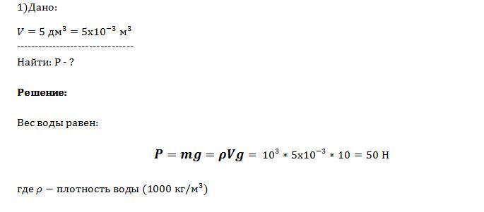
1.Банка объемом 5 дм (в кубе) заполнена водой. Какой вес имеет вода?
2.Пружина без нагрузки длинной 20 см имеет коэффициент жесткости 20 Н/м. На сколько растянется пружина по действием силы 2 Н?

3.Определите общий вес пяти бильярдных шаров, масса каждого из которых равна 125 грамм.

Помогите пожалуйста!! Заранее Спасибо!

Ответы

Ответ дал: livres
0

Решение во вложении:

Приложения:
Вас заинтересует