• Предмет: Математика
  • Автор: sasha1707
  • Вопрос задан 10 лет назад

x-4/7x=4,2 уравнение.............

Ответы

Ответ дал: Lologo19
0
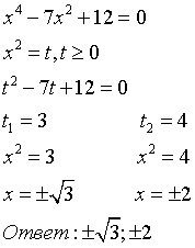
Вот это уравнение?  Если да то..... кароч вот
Приложения:
Ответ дал: NadDer
0
X-4/7x=4,2
3/7х = 42/10
х = 42/10*7/3
х= 98/10
х = 9,8
Приложения:
Вас заинтересует