• Предмет: Алгебра
  • Автор: ввикааааааа
  • Вопрос задан 10 лет назад

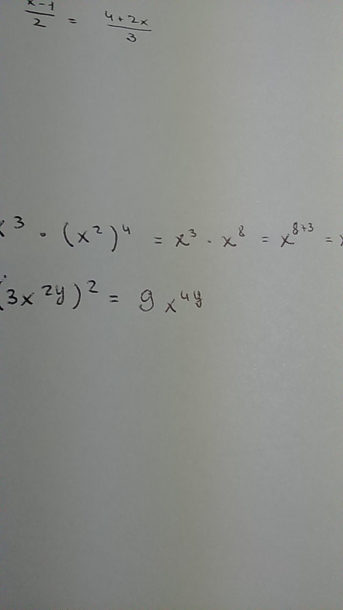
упростите выражение:
x^3*(x^2)^4
(3x^2y)^2

Ответы

Ответ дал: sfghjj
0
x³×(x²)⁴=x³×x^8=x¹¹
***
(3x^2y)²=3x^4y
якось так ♪~♪~♪
Ответ дал: КопченыеКрылышки
0
Вроде должно быть так. о:
Приложения:
Вас заинтересует