Помогите!
Найдите производную функции y=f(x):
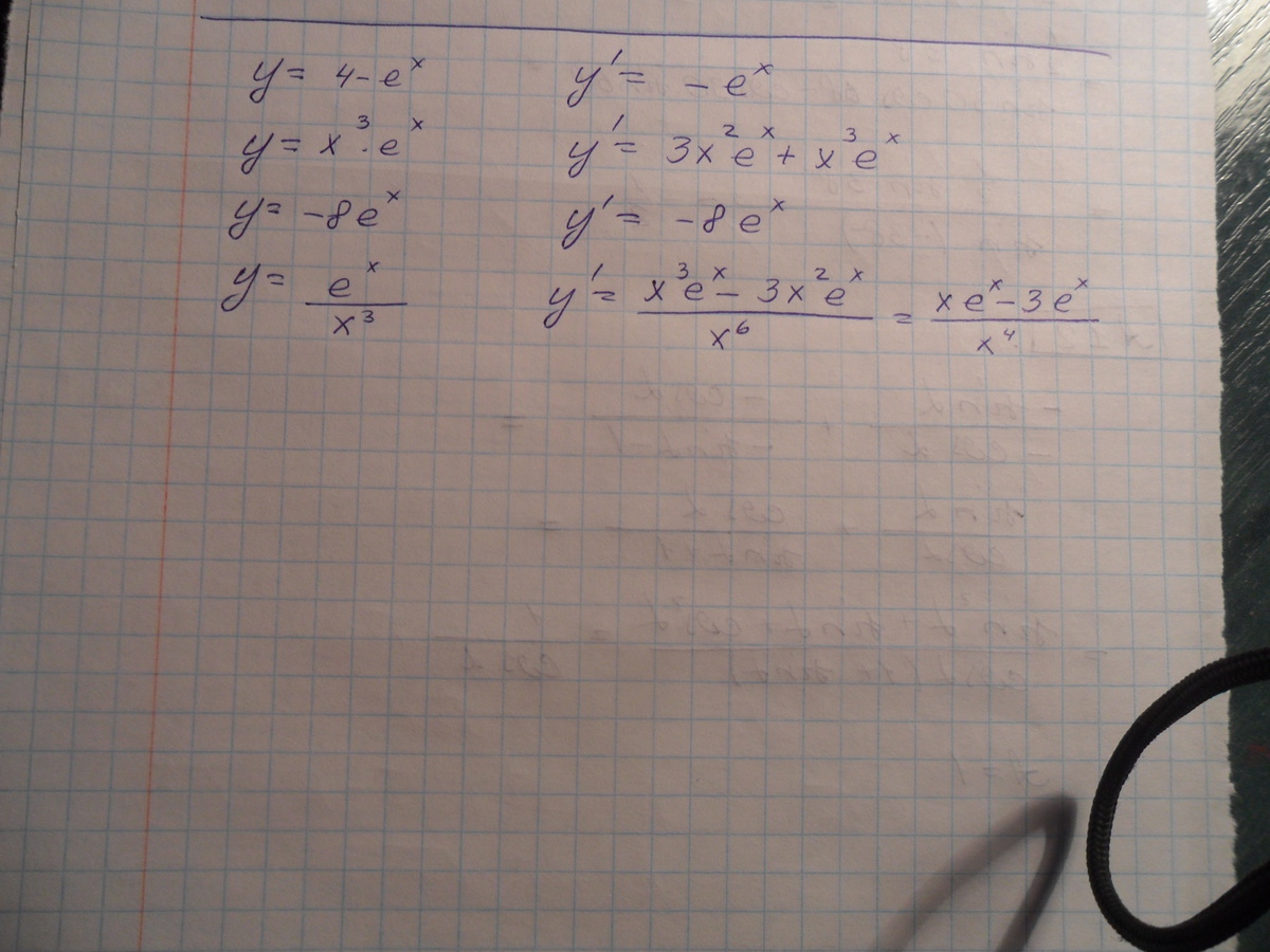
а) f(x)=4-e^x
б)f(x)=x^3e^x
в)f(x)=-8e^x
г)f(x)=(e^x)/(x^3)
Ответы
Ответ дал:
0
найпростіші завдання за таблицею похідних
Приложения:

Вас заинтересует
7 лет назад
7 лет назад
9 лет назад
9 лет назад
10 лет назад
10 лет назад