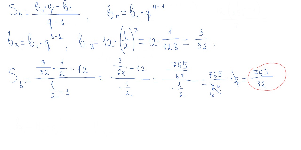
Дано Аn геометрическая прогрессия ,А1=12,q=1/2. Найдите сумму восьми членов геометрической прогрессии .
Ответы
Ответ дал:
0
надеюсь, не ошиблась в вычислениях. См. вложение
Приложения:

Вас заинтересует
2 года назад
8 лет назад
10 лет назад
10 лет назад
10 лет назад