Ответы
Ответ дал:
0
4. b15=b1*q^n-1
b15=2*3^15-2
b15=2*3^13
b15=2*1594323
b15=3188646
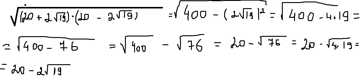
3. во вложении
b15=2*3^15-2
b15=2*3^13
b15=2*1594323
b15=3188646
3. во вложении
Приложения:

Вас заинтересует
2 года назад
2 года назад
7 лет назад
7 лет назад
9 лет назад
9 лет назад
10 лет назад