Помогите пожалуйста срочно номер 1512 1,2,3 завтра к 10 Решите пожалуйста методом подстановки
Приложения:

Ответы
Ответ дал:
0
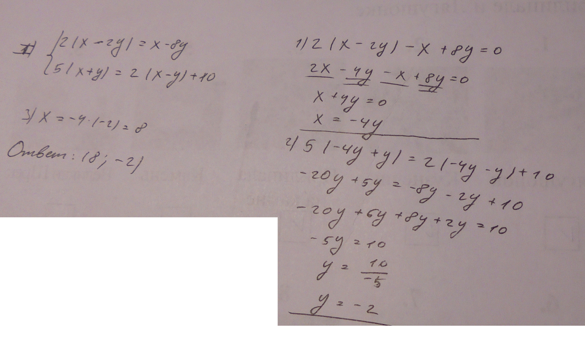
Решил первую систему.
Возьми любое выражение из системы, вырази одну переменную через другую. Потом замени в другом выражении эту переменную так, чтобы у тебя была всего одна переменная в нём. Найди её значение, а потом найди значение другой переменной через найденную ранее.
Возьми любое выражение из системы, вырази одну переменную через другую. Потом замени в другом выражении эту переменную так, чтобы у тебя была всего одна переменная в нём. Найди её значение, а потом найди значение другой переменной через найденную ранее.
Приложения:

Вас заинтересует
2 года назад
2 года назад
7 лет назад
7 лет назад
9 лет назад
10 лет назад