• Предмет: Математика
  • Автор: Razorman
  • Вопрос задан 10 лет назад

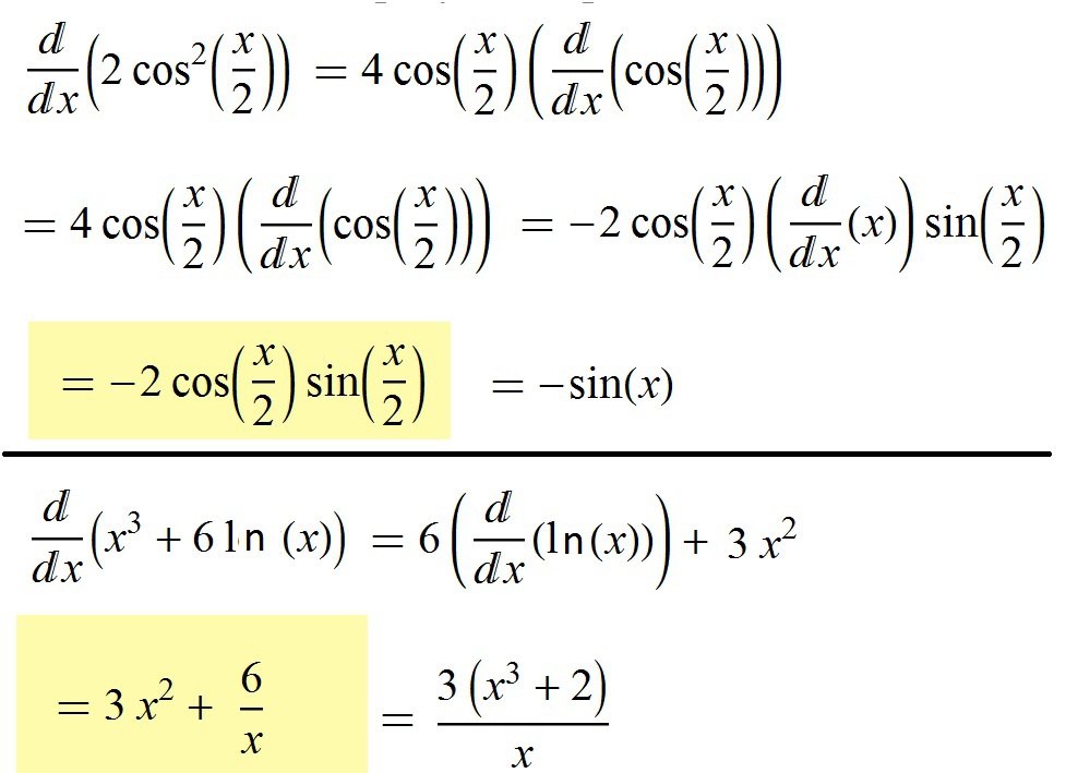
2cos^2*(x/2)=

x^3+6lnx=

Найти производные

Ответы

Ответ дал: JhonnyM
0
_____________________________
Приложения:
Вас заинтересует