• Предмет: Математика
  • Автор: norako
  • Вопрос задан 11 лет назад

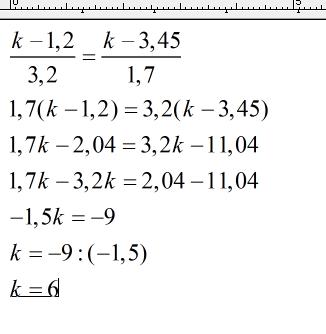
Помогите решить уравнение k-1.23.2=k-3.451.7

Ответы

Ответ дал: triolana
0

==============================================

Приложения:
Вас заинтересует