Ответы
Ответ дал:
0
2. 3
3. √162*√2 = √324 = 18
4. 3
5.
А1
Б2
В3
6. 8/5 = 1,6
7. 1
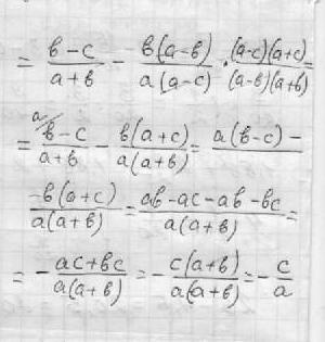
8. -с/а
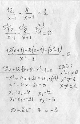
9. 7 и - 3
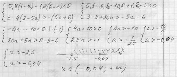
10. (- 0,04; + ∞)
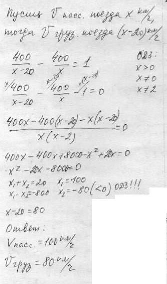
11. скорость пасс.поезда - 100 км/ч
скорость груз.поезда - 80 км/ч
3. √162*√2 = √324 = 18
4. 3
5.
А1
Б2
В3
6. 8/5 = 1,6
7. 1
8. -с/а
9. 7 и - 3
10. (- 0,04; + ∞)
11. скорость пасс.поезда - 100 км/ч
скорость груз.поезда - 80 км/ч
Приложения:
Вас заинтересует
2 года назад
2 года назад
8 лет назад
10 лет назад
10 лет назад
10 лет назад