• Предмет: Физика
  • Автор: ABC1234567
  • Вопрос задан 11 лет назад

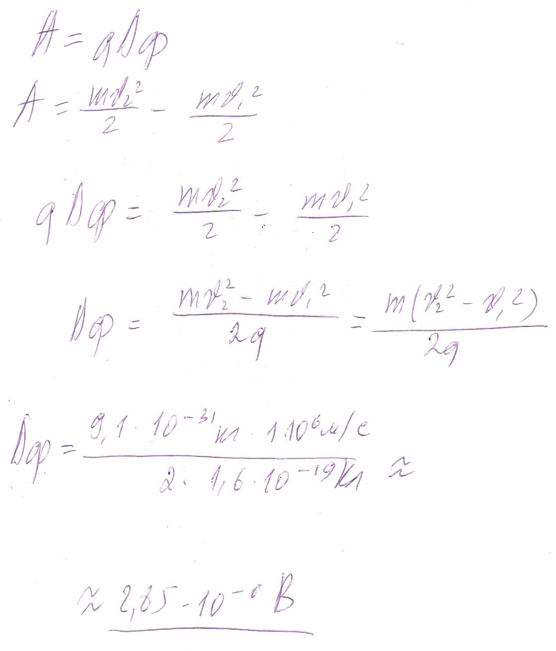
Какую разность потенциалов пролетел электрон, если скорость его при этом возросла от 2000 до 3000 км/с?

Ответы

Ответ дал: Artem112
0

надеюсь будет понятно.....

Приложения:
Вас заинтересует