Ответы
Ответ дал:
0
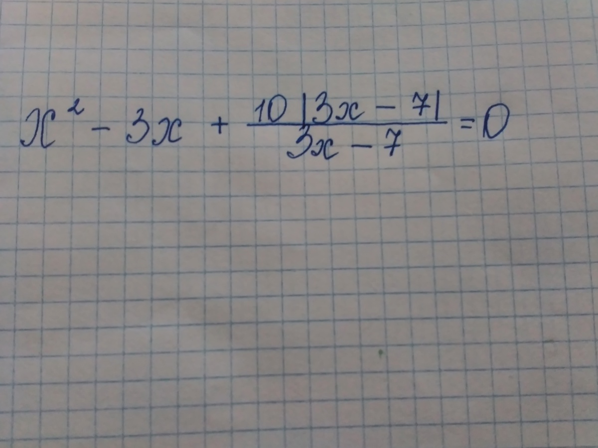
1) x²-3x+(10(-7+3x)/(-7+3x))=0
10+x²-3x =0
x² -3x +10 =0
D =9 -40 <0, уравнение корней не имеет
2) x²-3x +(10(7-3x)/(-7+3x)) =0
x²-3x -(10(7-3x)/(7-3x)) =0
x² -3x -10 =0
D =9 +40 =49 =7²
x1 =(3 -7)/2 = -2
x2 =(3 +7)/2 =5(не является корнем уравнения)
ответ: x = -2
10+x²-3x =0
x² -3x +10 =0
D =9 -40 <0, уравнение корней не имеет
2) x²-3x +(10(7-3x)/(-7+3x)) =0
x²-3x -(10(7-3x)/(7-3x)) =0
x² -3x -10 =0
D =9 +40 =49 =7²
x1 =(3 -7)/2 = -2
x2 =(3 +7)/2 =5(не является корнем уравнения)
ответ: x = -2
Ответ дал:
0
спасибо большое за помощь!
Ответ дал:
0
пожалуйста
Вас заинтересует
2 года назад
2 года назад
8 лет назад
10 лет назад