• Предмет: Алгебра
  • Автор: Аааа131
  • Вопрос задан 10 лет назад

Помогите решить пожалуйста

Приложения:

Ответы

Ответ дал: Интереcующийся
0
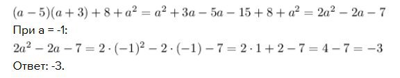
(a-5)(a+3) + 8 + a^2 = a^2 + 3a -5a - 15 + 8 + a^2 = 2a^2-2a-7
При a = -1:
2a^2-2a-7 = 2 cdot (-1)^2 - 2 cdot (-1) - 7 = 2 cdot 1 + 2 - 7 = 4 - 7 = -3
Ответ: -3.
Приложения:
Ответ дал: Интереcующийся
0
У вас нормально отображается ответ или нет?
Ответ дал: Аааа131
0
не совсем нормально
Ответ дал: Интереcующийся
0
Я приложил к ответу снимок. Смотрите его.
Ответ дал: Аааа131
0
Понятно
Ответ дал: Аааа131
0
спасибо
Ответ дал: Pomoshnik13524
0
(a-5)(a+3)+8+a^2=a^2+3a-5a-15+8+a^2=2a^2-2a-7=2+2-7=-3
Приложения:
Вас заинтересует