• Предмет: Алгебра
  • Автор: Аноним
  • Вопрос задан 10 лет назад

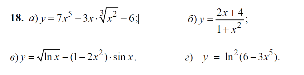
Найти производные данных функций и их дифференциалы.
(если можно распишите)

Приложения:

Ответы

Ответ дал: Аноним
0
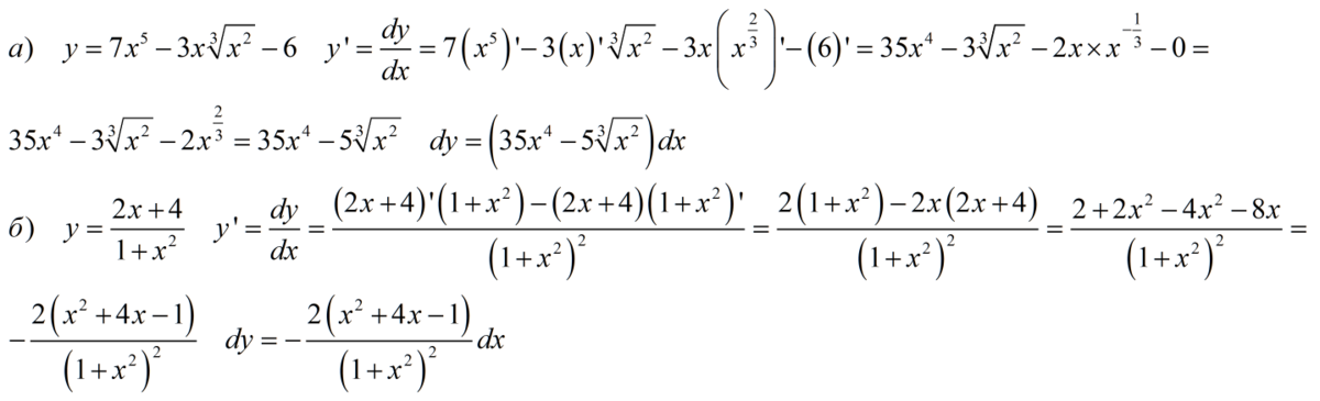
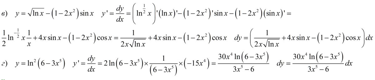
решение смотри во вложении
Приложения:
Ответ дал: Аноним
0
маг! где вы нашли эти решения?)
Ответ дал: Аноним
0
сам решаю. вообще-то, производные - это очень просто, а вот интегралы...
Ответ дал: Аноним
0
просто, но за годы все забывается)
Ответ дал: Аноним
0
вот я и решаю, чтобы не забыть
Вас заинтересует