• Предмет: Математика
  • Автор: Rus4456
  • Вопрос задан 10 лет назад

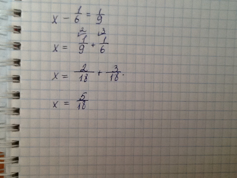
x - 1/6=1/9 помогите решить

Ответы

Ответ дал: DashVish
0
Х-1/6=1/9 Х=1/9+1/6 Х=2/18+3/18 Х=5/18
Приложения:
Вас заинтересует