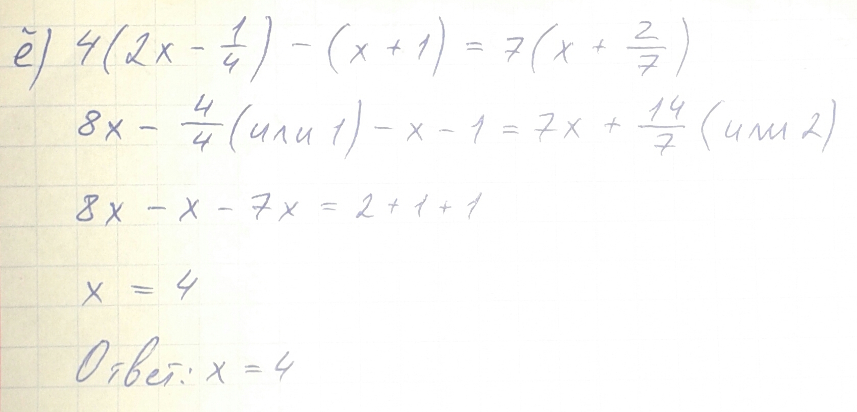
Решите уравнение: И объясните подробно, а то в школе фиг поймешь как объесняют. а) -3х-1=0, б) 3х-х+5х=2.1,в) 3у-11=1-2у,г)4(х-5)-(7х+9)=1,д)1/3х+2(2/3х-1/6)=-11/6 е) 2х-7/3=5х+4/5 ё) 4(2х-1/4)-(х+1)=7(ч+2/7)
Ответы
Ответ дал:
0
в уравнениях для начала нужно раскрыть скобки (если они есть), далее неизвестные значения (x, y) нужно перенести в левую часть уравнения, а известные (любые значения: 1,5,6 и подобное) в правую часть. после неизвестные складываются между собой, а известные между собой. если получается, например, 7x=14, то 14 нужно разделить на 7, это и получится значение x. в данном случае x=2. ниже предоставлены решения. на счет уравнения под "ё" не уверена
Приложения:


Вас заинтересует
2 года назад
2 года назад
7 лет назад
7 лет назад
9 лет назад
9 лет назад
10 лет назад