• Предмет: Алгебра
  • Автор: tishmuratova
  • Вопрос задан 10 лет назад

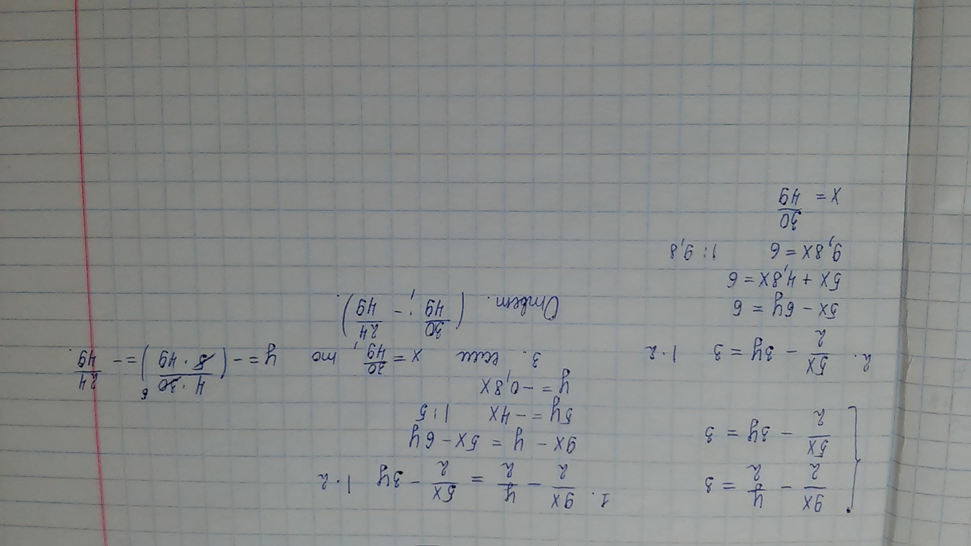
Помогите пожалуйста 1 номер и 2,буду очень благодарна

Приложения:

Ответы

Ответ дал: lianerezova
0
Не уверена в правильности.
Приложения:
Ответ дал: tishmuratova
0
спасибо большое)
Вас заинтересует