Ответы
Ответ дал:
0
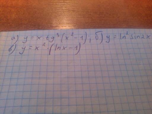
а)y=x*tg³(x²-1)
y`=1*tg³(x²-1)+x*3tg²(x²-1)*1/cos²(x²-1) *2x=tg³(x²-1)+6xtg²(x²-1)/cos²(x²-1)
б)y=ln²(sin2x)
y`=2ln(sin2x)*1/sin2x *2cos2x=4cos2xln(sin2x)/sin2x=4ctg2x+ln(sin2x)
в)y=x²+(lnx-1)
y`=2x*(lnx-1)+x²*1/x=2x*(lnx-1)+x
y`=1*tg³(x²-1)+x*3tg²(x²-1)*1/cos²(x²-1) *2x=tg³(x²-1)+6xtg²(x²-1)/cos²(x²-1)
б)y=ln²(sin2x)
y`=2ln(sin2x)*1/sin2x *2cos2x=4cos2xln(sin2x)/sin2x=4ctg2x+ln(sin2x)
в)y=x²+(lnx-1)
y`=2x*(lnx-1)+x²*1/x=2x*(lnx-1)+x
Вас заинтересует
8 лет назад
8 лет назад