Ответы
Ответ дал:
0
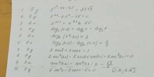
3) я сделала замену у меня получилось неравенство a^4+2a-80≤0, не могу выделить корни.
8) разделила уравнение на соs^2(2x).
решение смотри на фото.
8) разделила уравнение на соs^2(2x).
решение смотри на фото.
Приложения:


Ответ дал:
0
Спасибо огромное
Вас заинтересует
2 года назад
2 года назад
7 лет назад
7 лет назад
9 лет назад
9 лет назад
10 лет назад