Ответы
Ответ дал:
0
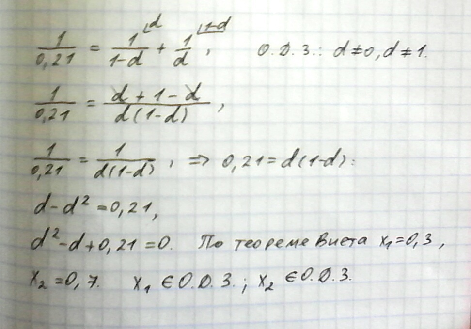
ответ на фото!!!!!!!!!!!!!
Приложения:

Ответ дал:
0
Сразу не понял первого действие, объясните, пожалуйста)
Ответ дал:
0
общий знаменатель
Ответ дал:
0
Ааа я настолько тупой что не понимаю... Ладно, не заморачивайтесь, спасибо
Ответ дал:
0
не за что
Ответ дал:
0
Вы не написали О. Д. З.
Ответ дал:
0
Решение задания на фото.
Приложения:

Ответ дал:
0
И вам спасибо
Вас заинтересует
2 года назад
7 лет назад
7 лет назад
9 лет назад
9 лет назад
10 лет назад