Ответы
Ответ дал:
0
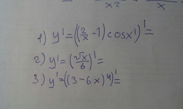
1) формула (UV)' = U'V + UV'
=(-2/х²*Cosx - (2/x -1)* Sinx
2) = 1/(12√х)
3) = 4(3-6х)³ * (-6) = -24(3 - 6х)³
=(-2/х²*Cosx - (2/x -1)* Sinx
2) = 1/(12√х)
3) = 4(3-6х)³ * (-6) = -24(3 - 6х)³
Вас заинтересует
2 года назад
2 года назад
8 лет назад
8 лет назад
10 лет назад
10 лет назад
10 лет назад