• Предмет: Алгебра
  • Автор: mLg
  • Вопрос задан 10 лет назад

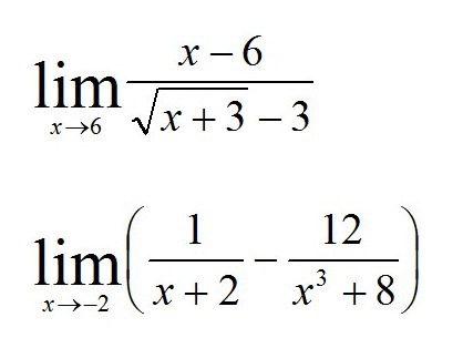
Решите один из лимитов, пожалуйста даю 40баллов

Приложения:

Ответы

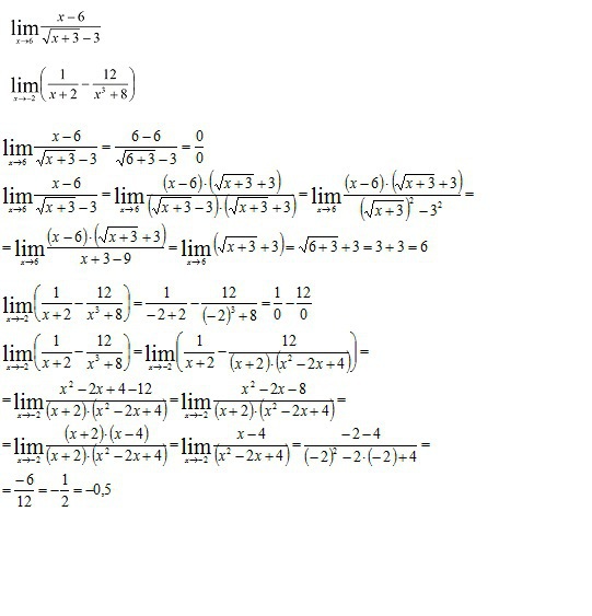
Ответ дал: kirichekov
0
решение во вложении-------------------------
Приложения:
Вас заинтересует