• Предмет: Алгебра
  • Автор: спортсменчик
  • Вопрос задан 11 лет назад

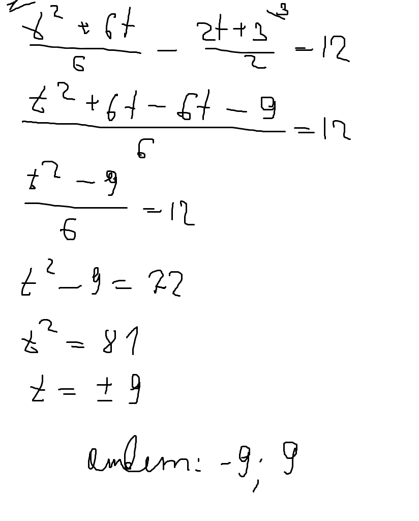
при каких значениях  t выполняется равенство

t2+6t            2t+3      

--------     -    --------  =   12

    6                    2

Ответы

Ответ дал: iriska15
0

20 символоооооооооооооооооввв

Приложения:
Вас заинтересует