• Предмет: Алгебра
  • Автор: ABC1234567
  • Вопрос задан 11 лет назад

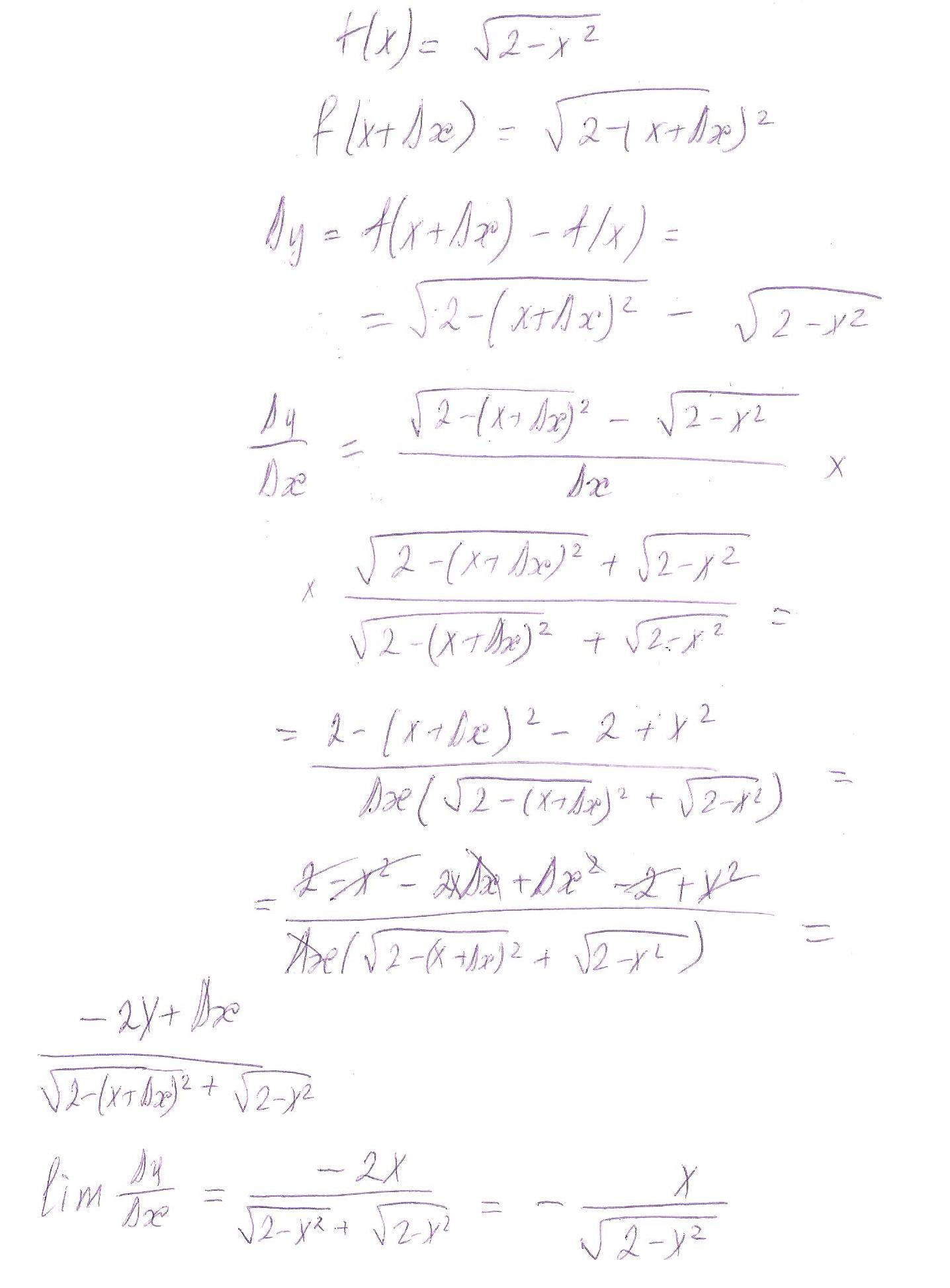
Пользуясь определением. выведите формулу дифференцирования функции y = sqrt{ 2 -x^{2} }  

Ответы

Ответ дал: Artem112
0

надеюсь будет понятно.....

Приложения:
Вас заинтересует