Ответы
Ответ дал:
0
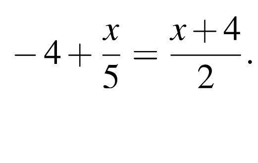
-4/1+х/5-(х+4)/2=0
-40+2х-5х-20=0|х10
-400+20х-50х-200=0
-30х=600|:(-30)
х=-20
-40+2х-5х-20=0|х10
-400+20х-50х-200=0
-30х=600|:(-30)
х=-20
Вас заинтересует
2 года назад
2 года назад
8 лет назад
10 лет назад
10 лет назад
10 лет назад