• Предмет: Алгебра
  • Автор: BarTiMan27
  • Вопрос задан 10 лет назад

Решите пожалуйста Заранее спасибо

Приложения:

Ответы

Ответ дал: Екатеринка962
0
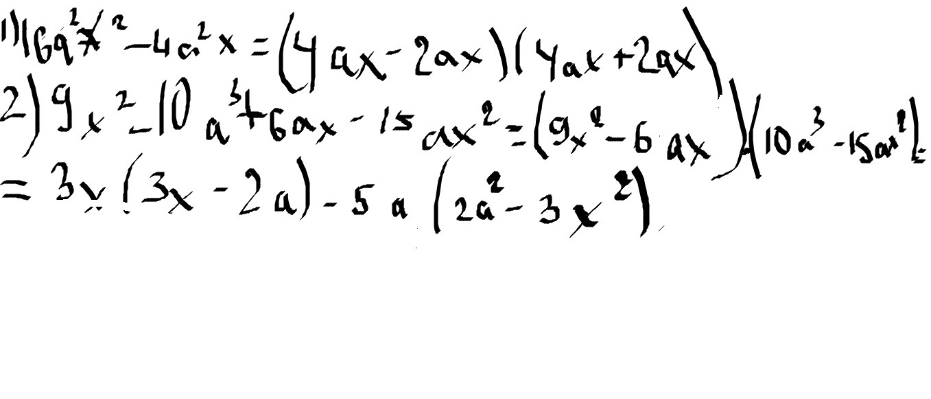
16ах"2-4а"2х=4ах(4х-а)

Ответ дал: Sonia657
0
Фоточкииии 1) и 2) 
3) не получился(
Приложения:
Вас заинтересует