Ответы
Ответ дал:
0
Решение:
310y-815y=0,78-1,2
-730y=-0,42
y=-0,42:730
y=1 45
310y-815y=0,78-1,2
-730y=-0,42
y=-0,42:730
y=1 45
Ответ дал:
0
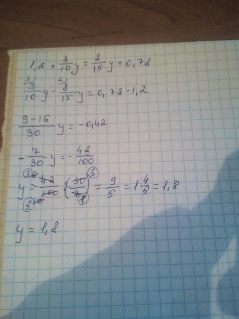
Здесь всё подробно расписано
Приложения:

Вас заинтересует
2 года назад
2 года назад
7 лет назад
7 лет назад
9 лет назад
10 лет назад