ДАЮ 59 Б!!!
Найдите значение выражения: 2 5/18+1 3/4
ОГРОМНОЕ СПАСИБО! ДАЮ 59 Б!!!!!!!!!!! ЖЕЛАТЕЛЬНО, ЧТОБЫ БЫЛО ПОДРОБНО РАСПИСАНО!
Ответы
Ответ дал:
0
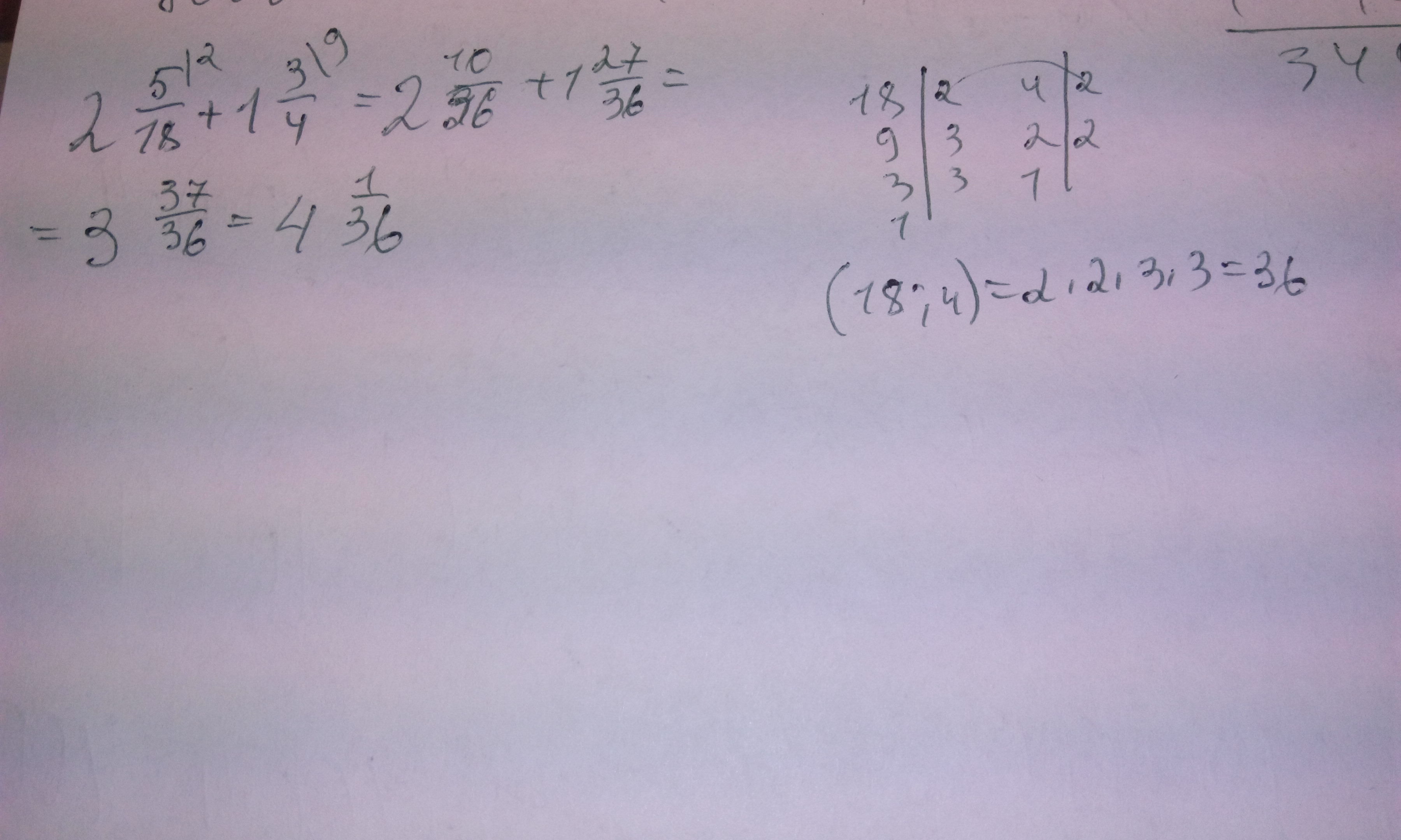
Приводим дроби к общему знаменателю.
Приложения:

Ответ дал:
0
Ты самая лучшая!!!! Огромное тебе спасибо!!!!!!!❤❤❤❤❤
Ответ дал:
0
2 5/18+1 3/4 переводим в неправильную дробь=41/18+7/4 приводим к общему знаменателю=82/36+63/36 числитель складываем=145/36=
4 1/36
4 1/36
Приложения:

Ответ дал:
0
ВЕЛИЧАЙШОЕ СПАСИБО!!!!!!!
Ответ дал:
0
ПОЖАЛУЙСТА))))
Вас заинтересует
2 года назад
2 года назад
7 лет назад
7 лет назад
9 лет назад
9 лет назад
10 лет назад