• Предмет: Геометрия
  • Автор: san4ik103
  • Вопрос задан 10 лет назад

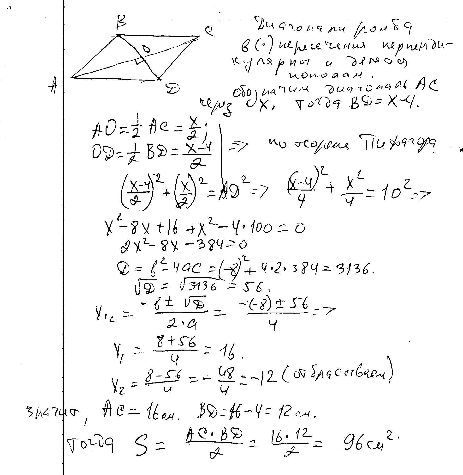
Знайдіть площу ромба зі сторонами 10см.Якщо різниця діагоналей 4см.

Ответы

Ответ дал: ужнеужели
0
Решение в сканеееее.....
Приложения:
Вас заинтересует