• Предмет: Геометрия
  • Автор: Таня18022002
  • Вопрос задан 10 лет назад

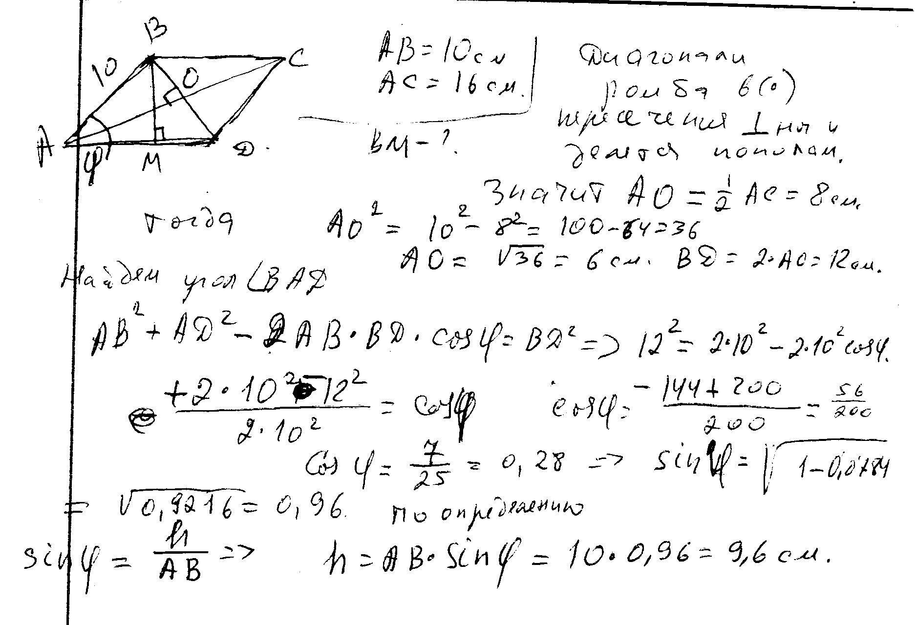
Сторона ромба дорівнює 10см.,а одна з діагоналей 16см.,Знайдіть висоту ромба

Ответы

Ответ дал: ужнеужели
0
решение в скане........
Приложения:
Вас заинтересует