• Предмет: Алгебра
  • Автор: kovalskaya98
  • Вопрос задан 10 лет назад

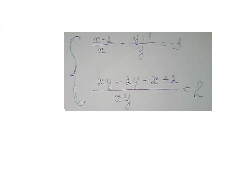
решите систему уравнений , срочно нужно до вечера. даю 99 баллов

Приложения:

Ответы

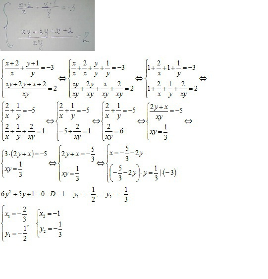
Ответ дал: kirichekov
0
решение во вложении---------------------
Приложения:
Вас заинтересует