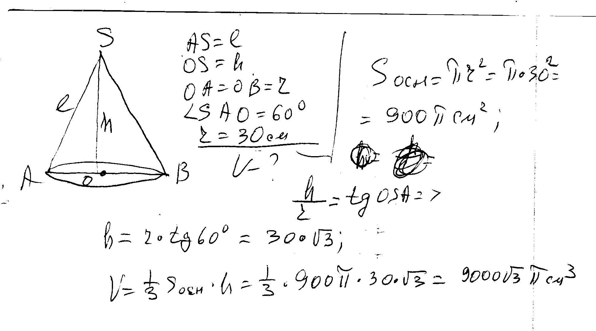
Угол между образующей и плоскостью основания конуса 60 градусов . радиус его основания 30 градусов . вычисдите объём конуса
Ответы
Ответ дал:
0
Решение в скане...... И, да, исправьте условие, радиус не измеряется в градусах.
Приложения:

Вас заинтересует
2 года назад
2 года назад
7 лет назад
7 лет назад
9 лет назад
9 лет назад
10 лет назад