Ответы
Ответ дал:
0
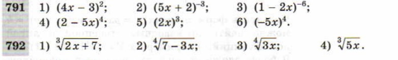
1) 2(4x-3)*4=8(4x-3)=32x-24
2) -3(5x+2)⁻⁴ * 5= -15(5x+2)⁻⁴
3) -6(1-2x)⁻⁷ * (-2)=12(1-2x)⁻⁷
4) 4(2-5x)³ * (-5)= -20(2-5x)³
5) 3*(2x)² * 2=6*(2x)²=24x²
6) 4*(-5x)³ * (-5)= -20*(-125x³)=2500x³
1)
![frac{1}{3}(2x+7)^{- frac{2}{3} } *2= frac{2}{3 sqrt[3]{(2x+7)^2} } frac{1}{3}(2x+7)^{- frac{2}{3} } *2= frac{2}{3 sqrt[3]{(2x+7)^2} }](https://tex.z-dn.net/?f=+frac%7B1%7D%7B3%7D%282x%2B7%29%5E%7B-+frac%7B2%7D%7B3%7D+%7D+%2A2%3D+frac%7B2%7D%7B3+sqrt%5B3%5D%7B%282x%2B7%29%5E2%7D+%7D+)
2)
![frac{1}{4}(7-3x)^{- frac{3}{4} }*(-3)=- frac{3}{4 sqrt[4]{(7-3x)^3} } frac{1}{4}(7-3x)^{- frac{3}{4} }*(-3)=- frac{3}{4 sqrt[4]{(7-3x)^3} }](https://tex.z-dn.net/?f=+frac%7B1%7D%7B4%7D%287-3x%29%5E%7B-+frac%7B3%7D%7B4%7D+%7D%2A%28-3%29%3D-+frac%7B3%7D%7B4+sqrt%5B4%5D%7B%287-3x%29%5E3%7D+%7D++)
3)
![frac{1}{4}(3x)^{- frac{3}{4} }*3= frac{3}{4 sqrt[4]{(3x)^3} }= frac{3}{4 sqrt[4]{27x^3} } frac{1}{4}(3x)^{- frac{3}{4} }*3= frac{3}{4 sqrt[4]{(3x)^3} }= frac{3}{4 sqrt[4]{27x^3} }](https://tex.z-dn.net/?f=+frac%7B1%7D%7B4%7D%283x%29%5E%7B-+frac%7B3%7D%7B4%7D+%7D%2A3%3D+frac%7B3%7D%7B4+sqrt%5B4%5D%7B%283x%29%5E3%7D+%7D%3D+frac%7B3%7D%7B4+sqrt%5B4%5D%7B27x%5E3%7D+%7D+++)
4)
![frac{1}{3}(5x)^{- frac{2}{3} } * 5= frac{5}{3 sqrt[3]{(5x)^2} }= frac{5}{3 sqrt[3]{25x^2} } frac{1}{3}(5x)^{- frac{2}{3} } * 5= frac{5}{3 sqrt[3]{(5x)^2} }= frac{5}{3 sqrt[3]{25x^2} }](https://tex.z-dn.net/?f=+frac%7B1%7D%7B3%7D%285x%29%5E%7B-+frac%7B2%7D%7B3%7D+%7D+%2A+5%3D+frac%7B5%7D%7B3+sqrt%5B3%5D%7B%285x%29%5E2%7D+%7D%3D+frac%7B5%7D%7B3+sqrt%5B3%5D%7B25x%5E2%7D+%7D+++)
2) -3(5x+2)⁻⁴ * 5= -15(5x+2)⁻⁴
3) -6(1-2x)⁻⁷ * (-2)=12(1-2x)⁻⁷
4) 4(2-5x)³ * (-5)= -20(2-5x)³
5) 3*(2x)² * 2=6*(2x)²=24x²
6) 4*(-5x)³ * (-5)= -20*(-125x³)=2500x³
1)
2)
3)
4)
Вас заинтересует
3 года назад
8 лет назад
10 лет назад
10 лет назад
10 лет назад