• Предмет: Алгебра
  • Автор: Janeboolitle
  • Вопрос задан 10 лет назад

ПОМОГИТЕ ПОЖАЛУЙСТА!!!
Задание: Вычислить РАЦИОНАЛЬНЫМ способом:

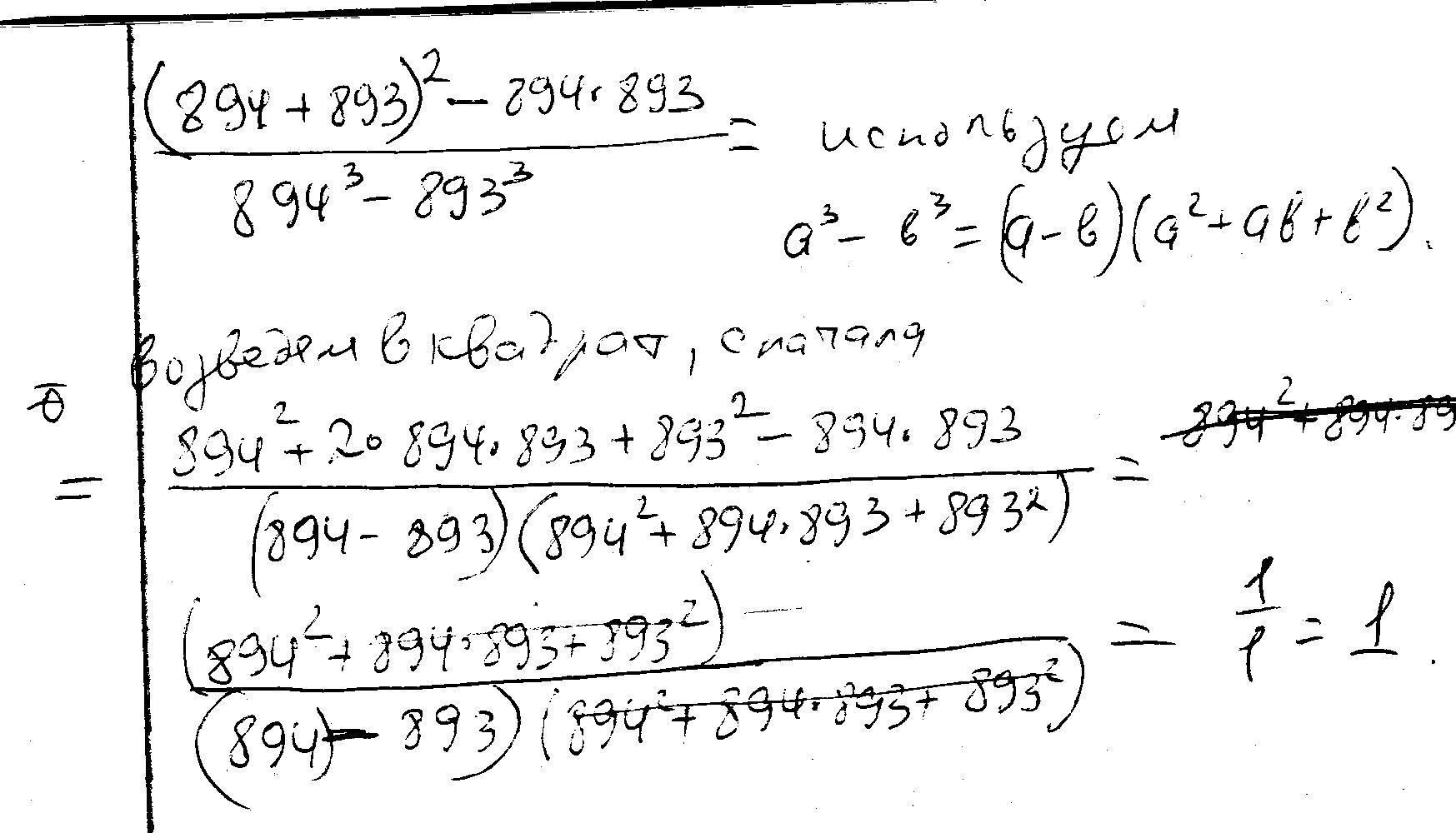
(894+893)^2-894*893
__________________
894^3-893^3

Ответы

Ответ дал: ужнеужели
0
решение в скане......
Приложения:
Ответ дал: Janeboolitle
0
Куда делось удвоенное произведение?!
Ответ дал: ужнеужели
0
отняли такое же выражение с минусом. Там, в конце числителя
Вас заинтересует