ПОМОГИТЕ!!АЛГЕБРА 8КЛАСС!
Задание сложное ,сама с горем пополам решила из второго варианта...Учительница сказала ,что поставить пять за итоговую,если решу..
Только проверьте решение,оно сложное
Приложения:

Ответы
Ответ дал:
0
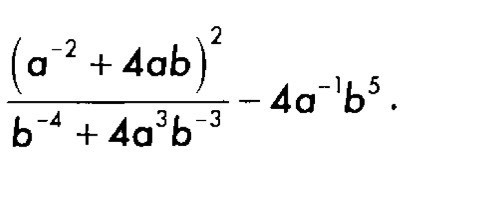
=(1/a²+4*a*b)²/(1/b⁴+4*a³/b³)-4*b⁵/a=(1/a⁴+8*b/a+16*a²*b²)/((1+4*a³*b)/b⁴)-4*b⁵/a=(1+8*a³*b+16*a⁶*b²)/a⁴ : (1+4*a³*b)/b⁴-4*b⁵/a=(4*a³*b+1)²/a⁴*b⁴/(1+4*a³*b)-4*b⁵/a=
b⁴*(4*a³*b+1)/a⁴-4*a³b⁵/a⁴=(4*a³*b⁵+b⁴-4*a³*b⁵)/a⁴=b⁴/a⁴.
Ответ: b⁴/a⁴.
b⁴*(4*a³*b+1)/a⁴-4*a³b⁵/a⁴=(4*a³*b⁵+b⁴-4*a³*b⁵)/a⁴=b⁴/a⁴.
Ответ: b⁴/a⁴.
Вас заинтересует
2 года назад
2 года назад
7 лет назад
7 лет назад
9 лет назад
10 лет назад